本站支持IPv6/IPv4
中国政府网
云南省政府
简体
/
繁体
微信公众号
无障碍浏览
长者模式
+
温馨提示:2023年11月6日至2023年11月12日政府网站群进行无障碍适老化改造,若有异常,敬请谅解!
站群搜索
首页
迪庆概况
总体概况
建制沿革
行政区划
区位及面积
人口和民族
自然资源
旅游资源
国民经济
生态环境
新闻中心
迪庆要闻
县市快讯
部门动态
通知公告
国务院信息
省政府信息
政务公开
政府信息公开平台
重点领域信息公开
政府公报
规章库
规范性文件库
标准化规范化工作
政务服务
互动交流
网上信访
在线调查
纪检投诉
12345热线
政务新媒体
当前位置
>
首页
>
新闻中心
>
通知公告
新闻中心
迪庆要闻
县市快讯
部门动态
通知公告
国务院信息
省政府信息
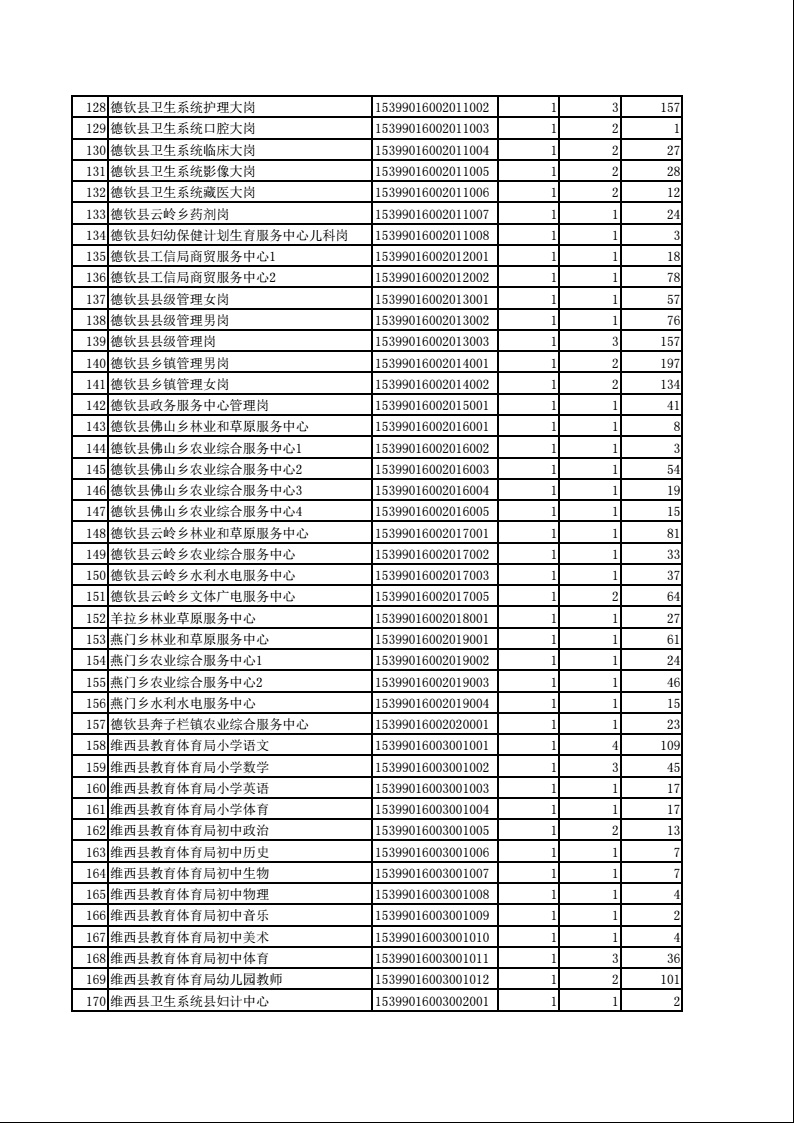
2023年迪庆州事业单位公开招聘工作人员岗位报名最终情况(截止4月4日00:01)
发布时间:2023-04-04 12:16
来源:迪庆州人民政府
浏览次数:17737
字体:【
大
中
小
】
打印
分享:
2023迪庆州事业单位考试报名最终情况.pdf
扫一扫在手机打开当前页面
上一篇:
迪庆事业单位总报名人数首次破万
下一篇:
2023年迪庆州事业单位公开招聘工作人员岗位报名请况(截止4月1日18:10)