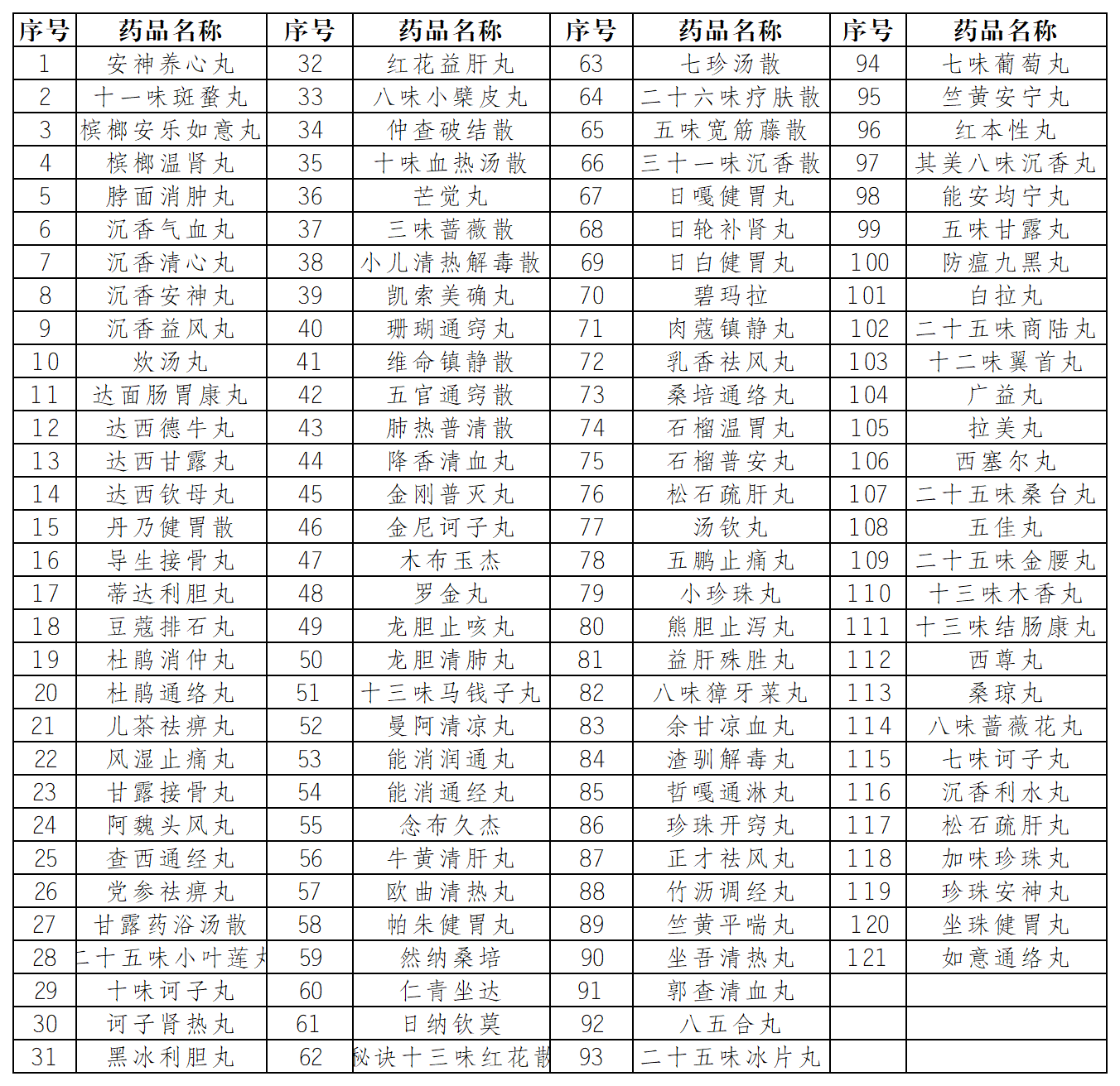
近日,云南省医保局和云南省人社局联合下发文件,将艾绒等308种中药饮片、809种医疗机构制剂纳入云南省基本医疗保险、工伤保险和生育保险药品目录。我州藏医院和德钦县人民医院121种院内制剂位列其中。

为促进藏医药事业的高质量发展,提高参保人员用药保障水平,迪庆州医疗保障局认真贯彻落实省医保局关于支持云南省涉藏地区医疗保障工作若干措施,会同药品监督管理部门,指导州藏医院、德钦县人民医院做好院内制剂报批核准工作,及时将省药品监督管理部门审批通过的州藏医院安神养心丸等116种院内制剂、德钦县人民医院松石性疏肝丸等5种院内制剂,上报省医保局申请纳入云南省基本医疗保险药品目录。
据了解,迪庆州藏医院藏医血液辨析等23个藏医诊疗项目也通过审批,纳入了云南省医保基金支付范围。
